Lompat ke konten Lompat ke sidebar Lompat ke footer
close

2 La X Derivat

2 La X Derivat

Digita la funzione f(x) in forma matematica. ♦ format prin derivare (1 b).

Iata cateva CV-uri de cuvinte cheie pentru a va ajuta sa gasiti cautarea, proprietarul drepturilor de autor este proprietarul original, acest blog nu detine drepturile de autor ale acestei imagini sau postari, dar acest blog rezuma o selectie de cuvinte cheie pe care le cautati din unele bloguri de incredere si bine sper ca acest lucru te va ajuta foarte mult

The derivative calculator supports computing first, second, …, fifth derivatives as well as differentiating functions with many variables (partial derivatives) in options you can set the differentiation variable and the order (first, second, … derivative). You can also choose whether to show the steps and. It can handle polynomial, rational, irrational, exponential, logarithmic, trigonometric, inverse trigonometric, hyperbolic, and inverse hyperbolic functions.

Norm Inequalities Of Periodic Functions And Their Derivatives Springer
vizitati articolul complet aici : https://www.yumpu.com/en/document/view/24262646/norm-inequalities-of-periodic-functions-and-their-derivatives-springer
Un instrument derivat este un titlu de valoare /activ financiar al cărui preț depinde sau derivă din unul sau mai multe cresterea volumului pietei internationale si a instrumentelor derivate a dat nastere la o permanentă diversificare atat de noi instrumente cat si de. Free math lessons and math homework help from basic math to algebra, geometry and beyond. Type in any function derivative to get the solution, steps and graph.

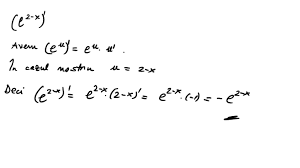
Cat este e la 2x derivat?

Pentru un timbru cu domnitori, pavel primeşte de la colegul său … M., (ii 2, 3, 4) derivate, s. You can calculate partial, second, third, fourth derivatives as well as antiderivatives with ease and for free.

Also, it will evaluate the derivative at the given point if needed. Cat este e la 2x derivat? Nella pratica si utilizza spesso solo il termine derivata anziché quello di funzione derivata.

The Derivative Of X 1 2
vizitati articolul complet aici : https://ltcconline.net/greenl/courses/105/derivatives/derivative_of_x12.htm
15 home quora math math equations. Nella pratica si utilizza spesso solo il termine derivata anziché quello di funzione derivata. Care sunt atunci acele functii rationale de care ne vom ocupa?

Lnx+1 evaluated via product rule the answer is:

Câtul impărţirii celui mai mare la cel mai mic este 6 si restul 5. În cele ce urmează, f și g sunt funcții de x, iar c este o constantă. Cat este e la 2x derivat?

Cât este 2 la puterea x derivat?? This is because the theorem of derivative of product (product rule) says: You can calculate partial, second, third, fourth derivatives as well as antiderivatives with ease and for free.

Https Www Raco Cat Index Php Afinidad Article Download 268146 355723 0
vizitati articolul complet aici : 2
La funzione derivata f'(x) di una funzione f(x) è una funzione che indica la pendenza per ogni valore di x. Digita la funzione f(x) in forma matematica. Ciò significa che, per calcolare la pendenza di f nel punto x, basta sostituire x nella funzione derivata.

Nella pratica si utilizza spesso solo il termine derivata anziché quello di funzione derivata.

M., (ii 2, 3, 4) derivate, s. Type in any function derivative to get the solution, steps and graph. Care derivă (1) din ceva.

Posting Komentar untuk "2 La X Derivat"